PDF版
下一版
上一版
十版:公示
总第3350期 >
2024-08-22
编印
返回阅读
|
视觉导航
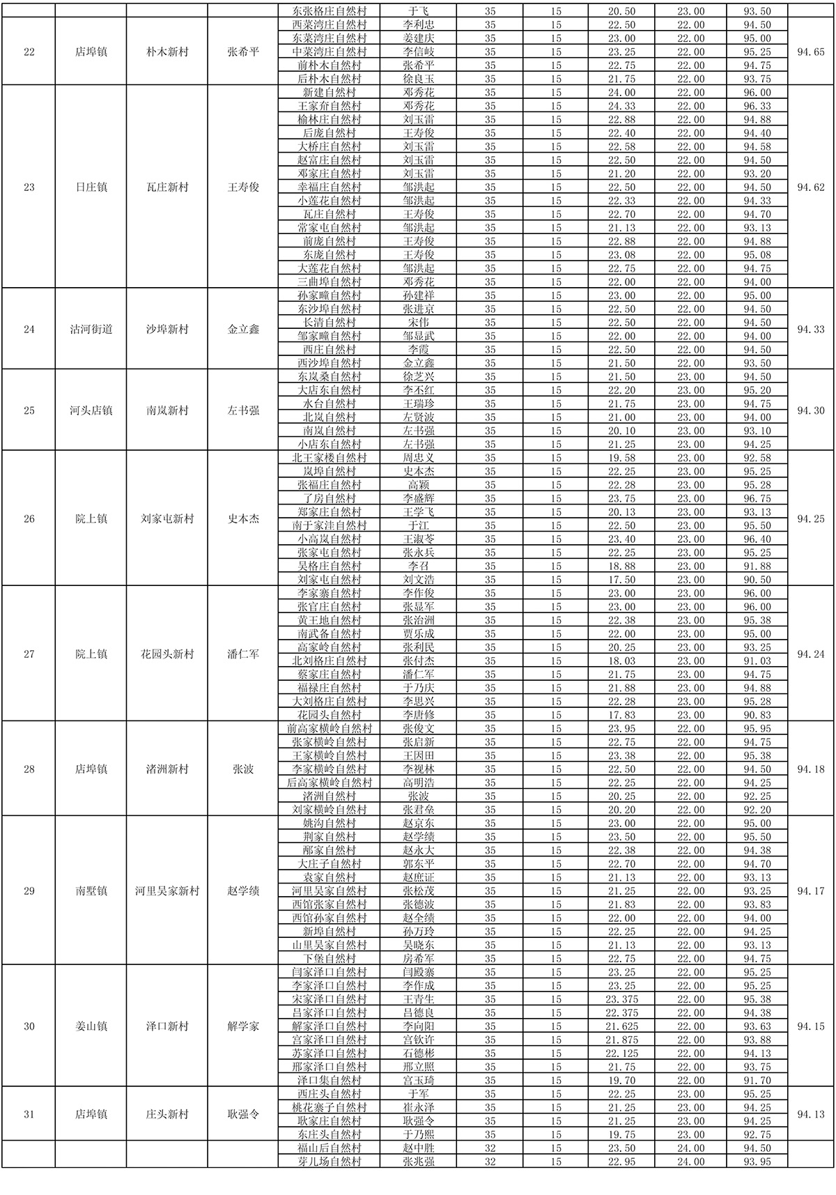
莱西市村党组织书记2024年6、7月份考核排名榜单
(“创优”“强基”类村党组织)
刊发日期:2024-08-22 阅读次数: 作者:莱西市情 语音阅读:
(上接第9版)
(下转第11版)
更多精彩内容,请下载莱西融媒APP
复制链接
下一篇
上一篇
返回目录