十二版:公示总第3266期 >2024-01-23编印

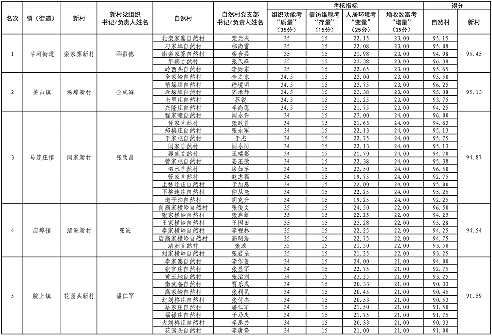
莱西市村党组织书记2023年第四季度考核排名榜单
(“强基”类村党组织)
刊发日期:2024-01-23 阅读次数: 作者:莱西市情  语音阅读:

(上接第11版)

12版半个.jpg

市委组织部

联系人:马阳阳,联系电话:88405375

市信访局

联系人:宫媛媛,联系电话:88405081

市农业农村局

联系人:王振举,联系电话:66895001 联系人:翟秀纲,联系电话:88465404

更多精彩内容,请下载莱西融媒APP

微信图片_20230130153834.jpg