十二版:公示总第3197期 >2023-08-17编印

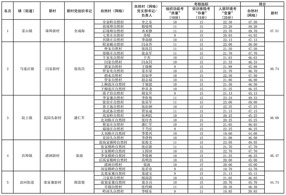
莱西市村党组织书记7月份考核排名榜单
刊发日期:2023-08-17 阅读次数: 作者:莱西市情  语音阅读:

莱西市村党组织书记7月份考核排名榜单

(“强基”类村党组织)

(上接第11版)

12版(半个版).jpg

市委组织部

联系人:马阳阳,联系电话:88405375

市信访局

联系人:宫媛媛,联系电话:88405081

市农业农村局

联系人:王振举,联系电话:66895001

更多精彩内容,请下载莱西融媒APP

微信图片_20230130153834.jpg