第十二版:公示总第3134期 >2023-04-20编印

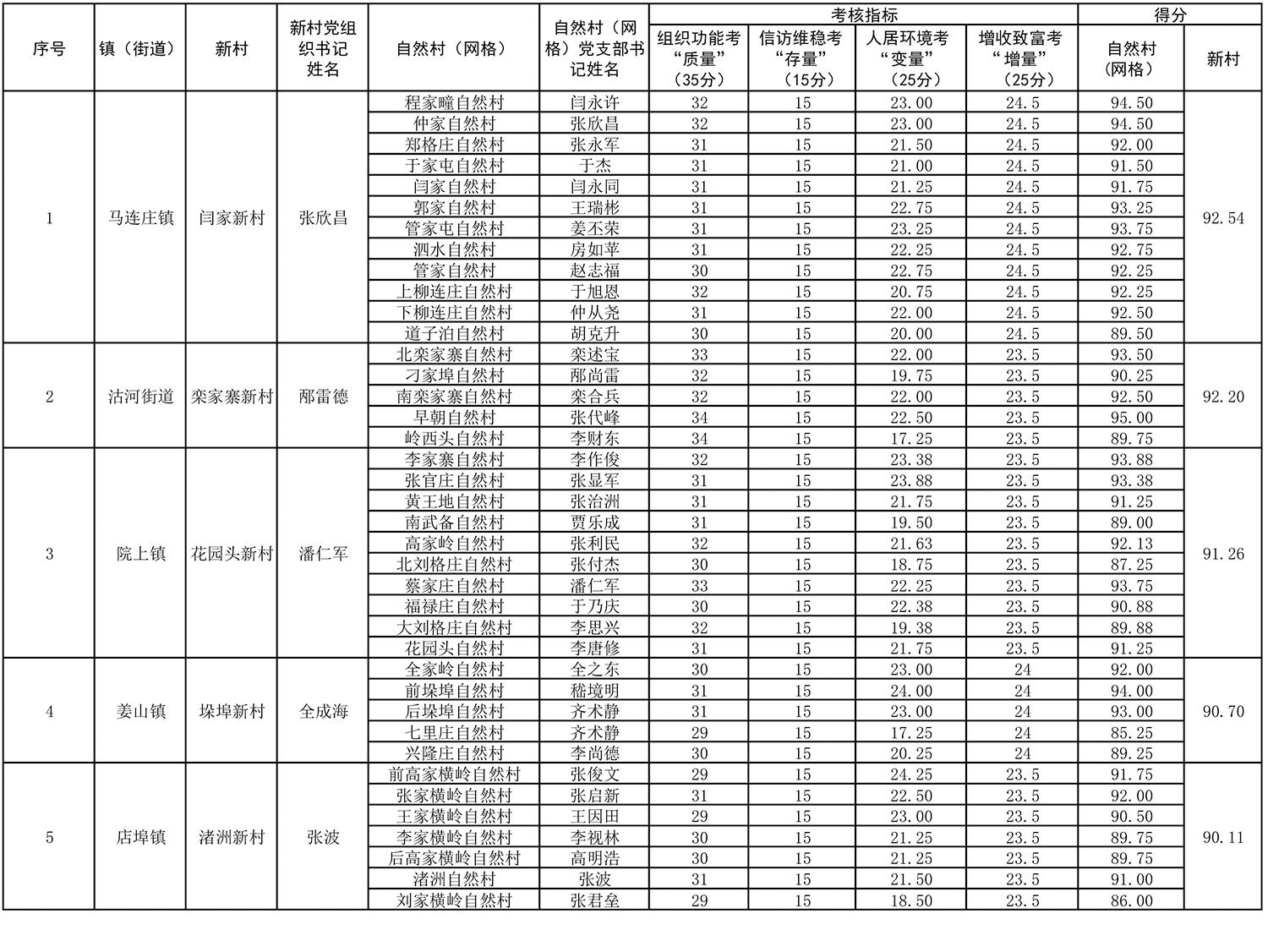
莱西市2023年一季度村党组织书记考核排名榜单
(“强基”类村党组织)
刊发日期:2023-04-20 阅读次数: 作者:莱西市情  语音阅读:

(上接第11版)

1681958069327825.jpg

  考核单位

  市委组织部

  联系人:胡   杰   联系电话:88405375

  市信访局

  联系人:宫媛媛   联系电话:88405081

  市农业农村局

  联系人:王振举   联系电话:66895001

  联系人:翟秀纲   联系电话:88465404

更多精彩内容,请下载莱西融媒APP

微信图片_20230130153834.jpg