PDF版
下一版
上一版
七版:公示
总第3098期 >
2023-02-15
编印
返回阅读
|
视觉导航
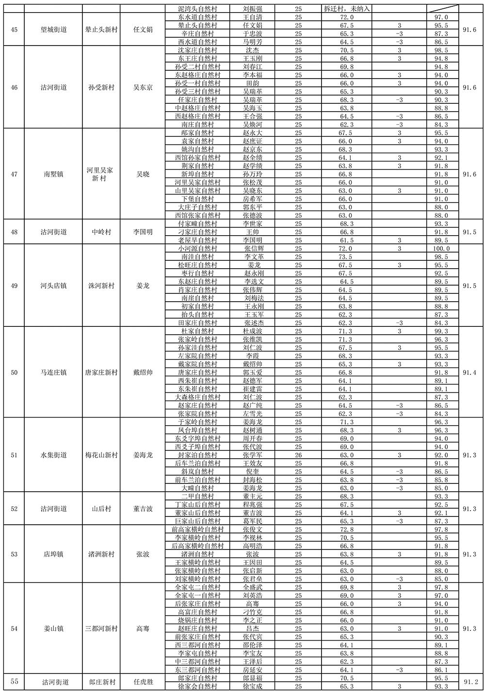
2023年1月份村党组织带头人考核排名
刊发日期:2023-02-15 阅读次数: 作者:莱西市情 语音阅读:
(上接第6版)
(下转第8版)
更多精彩内容,请下载握得莱西APP
复制链接
下一篇
上一篇
返回目录