PDF版
下一版
上一版
六版:公示
总第3085期 >
2023-01-19
编印
返回阅读
|
视觉导航
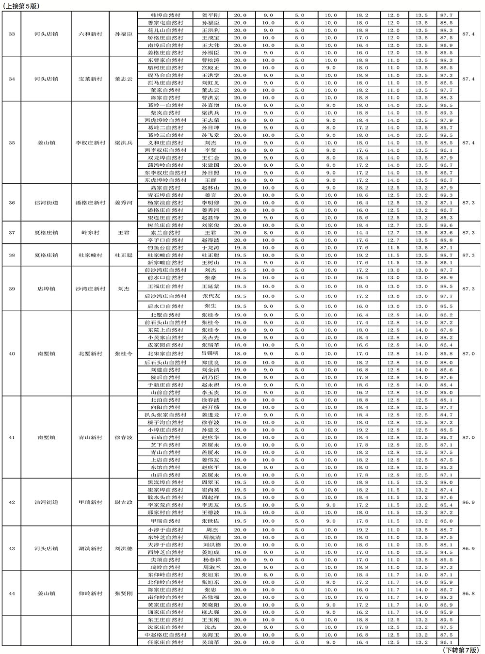
莱西市2022年第四季度村党组织带头人考核排名
刊发日期:2023-01-19 阅读次数: 作者:莱西市情 语音阅读:
复制链接
下一篇
上一篇
返回目录