PDF版
下一版
上一版
四版:专题
总第2539期 >
2020-03-24
编印
返回阅读
|
视觉导航
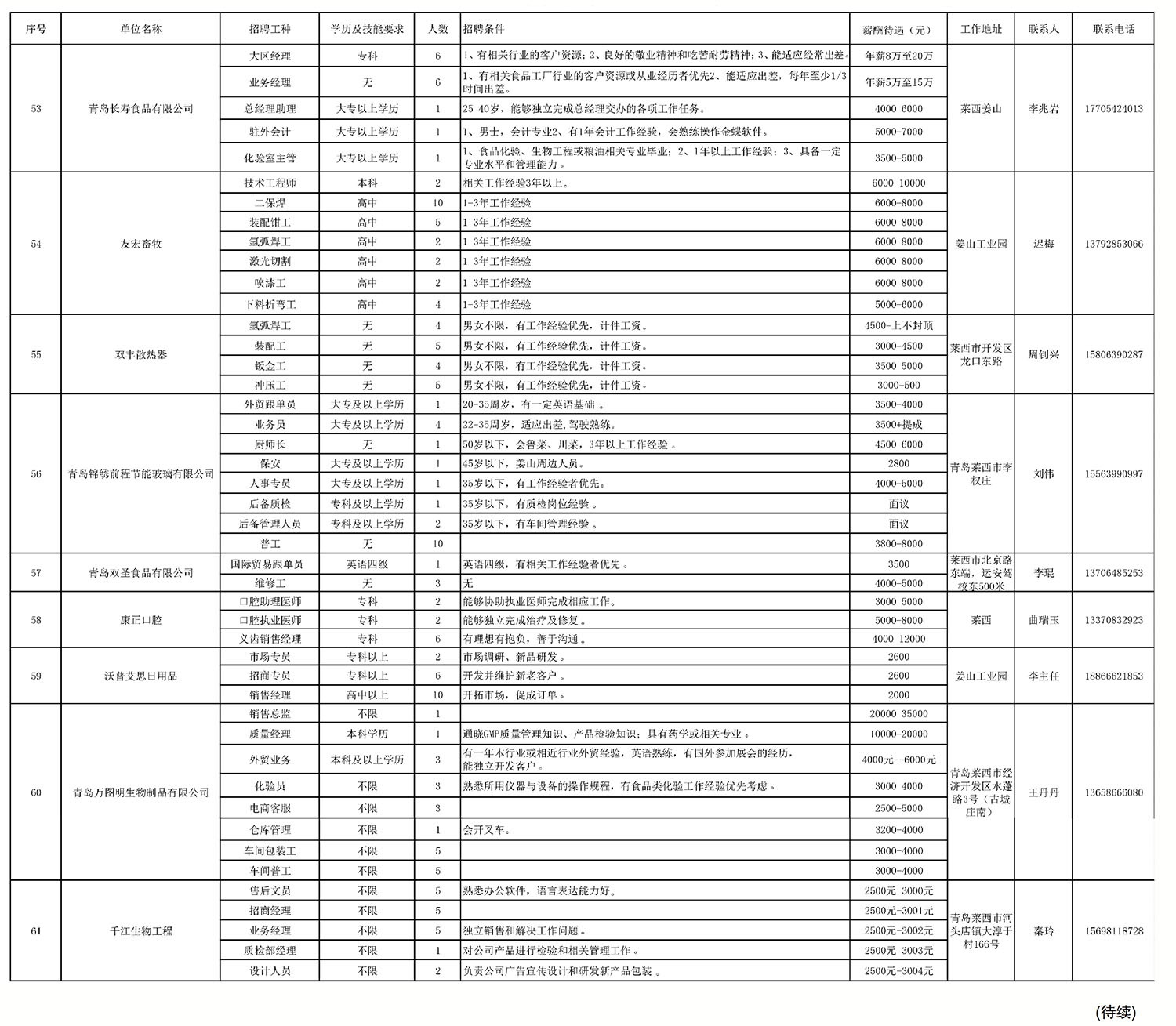
2020“春风行动”企业用工信息
刊发日期:2020-03-24 阅读次数: 作者:lxxwzx 语音阅读:
复制链接
下一篇
上一篇
返回目录