PDF版
下一版
上一版
八版:消费时尚
总第1734期 >
2016-04-01
编印
返回阅读
|
视觉导航
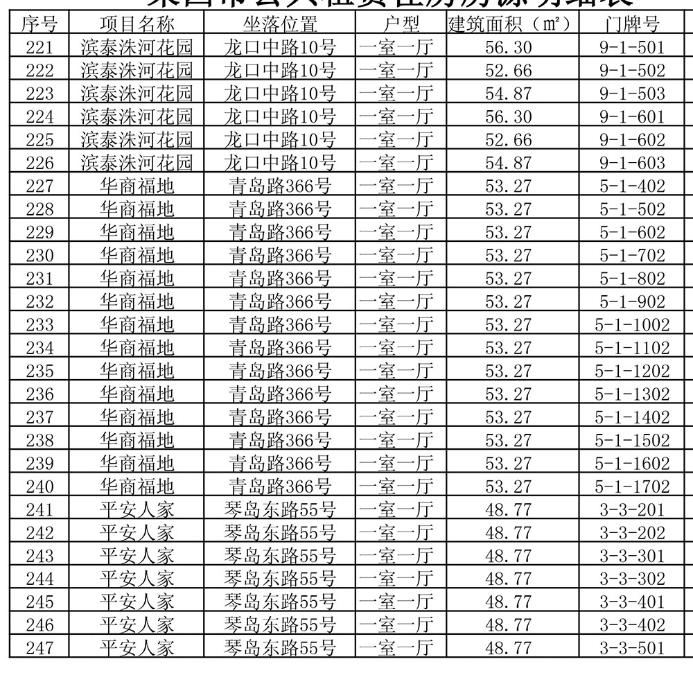
我市公共租赁住房房源明细表
刊发日期:2016-04-01 阅读次数: 作者:lxxwzx 语音阅读:
复制链接
下一篇
上一篇
返回目录